翰林刷题,免费考试真题网站!
首页
关于我们
首页
›
分类
› 详情
作者:高老师
时间:2024-07-29
浏览 0
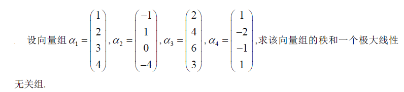
【正确答案】:
【题目解析】:
📱 扫码体验刷题小程序
扫一扫使用我们的微信小程序
热门题目
建党100年来,党带领人民取得了哪些伟大成就。
按照计算机用途划分,工业企业生产中用于控制机床的工控机属于
下列平均数中,被称为位置平均数的有
请列出工作分析的主要步骤。
国家通过社会保障的有关措施保证每个成员在遇到风险事故时予以救助,使其不陷入贫困的社会保障制度模式是( )
职能型组织
规模大、多样性低的适合()
问题解决的基本过程分为( )
世界上第一个系统研究了儿童游戏,并设计了“恩物”的教育家是
在爱的母题文学作品中,母爱型儿童文学传达的艺术氛围是“亲切温馨”,父爱型儿童文学传达的艺术氛围是
创作了荒诞神奇的《爱丽丝漫游奇境记》和《爱丽丝镜中奇游记》的作者是英国数学家
省财政用政府性基金预算结余资金500万元购入国债,正确的会计处理是( )
➕
➖
📋
⬆️
已复制到剪贴板