翰林刷题,免费考试真题网站!
首页
关于我们
首页
›
分类
› 详情
作者:高老师
时间:2024-07-29
浏览 1
B、1
C、2
D、3
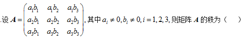
【正确答案】:B
【题目解析】:
📱 扫码体验刷题小程序
扫一扫使用我们的微信小程序
热门题目
TCP/IP协议体系中,最关键的层次是
在我国社会主义社会,执行法律的基础是()
某企业管理人员在制定劳动定额时,根据以往生产相同或近似产品工序工时的统计资料、经过整理、分析计算确定定额这种方法称为
名词解释:广告监督检查
进口货物,就当事人由进口人或代理人向()申报纳税。
采用(托收承付结算方式),应于货款已收到或取得收取货款的权力,同时已将发票账单和提货单交给购货单位时确认收入的实现。
书写程序语句时,适当增加空行和程序注释以增加程序的___________。
K.Anders Ericsson,a professor of psychology at Florida State Uni
X~E(2),则X的分布函数为________________.
下列不属于内部证据的是()
社会公众和社会舆论对组织实际状态和行为的认知和评价是()
“学生能够复述教育目标的构成”属于认知领域中
➕
➖
📋
⬆️
已复制到剪贴板