翰林刷题,免费考试真题网站!
首页
关于我们
首页
›
分类
› 详情
作者:高老师
时间:2024-07-29
浏览 1
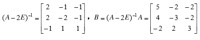
【正确答案】:
【题目解析】:
📱 扫码体验刷题小程序
扫一扫使用我们的微信小程序
热门题目
中国抗日战争胜利的伟大历史意义是什么?
美国非现金结算体系十分发达,广泛使用( )。
企业的面貌、产品的外观与包装等属于组织文化的层面是
按照能力的倾向划分,可将能力分为一般能力和( )
下列各项股利分配政策中,有利于投资者安排收入与支出,且股利支付与公司盈利相脱节的是( )。
包豪斯设计学院在现代设计教育上进行了史无前例的大胆改革和探索,它的重要革新在于_____以及创造了“基础课”。()
(____)年,美国第一所公立幼儿园由威廉·哈里斯在密苏里州创办,推动了美国公立幼儿园的发展。
技术具有的属性包括()
SQLServer的安全性是基于()
A typical Forsyte,according to John Galsworthy,is a man with a s
从法律角度讲,下列资产中属于收益性无形资产的是 ()
收支均衡模式的计算公式为
➕
➖
📋
⬆️
已复制到剪贴板