翰林刷题,免费考试真题网站!
首页
关于我们
首页
›
分类
› 详情
作者:高老师
时间:2024-07-29
浏览 0
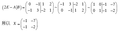
【正确答案】:
【题目解析】:
📱 扫码体验刷题小程序
扫一扫使用我们的微信小程序
热门题目
下列属于挽留高价值客户的主要措施的是( )
传统分销渠道模式是
Suburbia (郊区) As the cities became more crowded and as the means
人所特有的高级社会情感包括
试比较单一制和联邦制国家结构形式的区别。
《红与黑》中的人物有
蒙台梭利教育法的内容主要包括主题教育活动和( )
价格通常包括成本、净利润和
You would like to know whether their credit and financial ______
盈亏平衡点处的企业销售收入为固定成本与____收益率之比。
下列各项中属于所得税会计的核算程序的有()。
归有光的文集是( )。
➕
➖
📋
⬆️
已复制到剪贴板