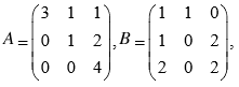
设三阶矩阵X满足等式AX=B+2X,其中,求矩阵X。

作者:高老师 浏览 0

设三阶矩阵X满足等式AX=B+2X,其中,求矩阵X。


【正确答案】:



【题目解析】:

📱 扫码体验刷题小程序

微信小程序二维码

扫一扫使用我们的微信小程序

热门题目

已复制到剪贴板