翰林刷题,免费考试真题网站!
首页
关于我们
首页
›
分类
› 详情
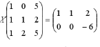
求解矩阵方程:
作者:高老师
时间:2024-07-29
浏览 0
求解矩阵方程:
【正确答案】:
【题目解析】:
📱 扫码体验刷题小程序
扫一扫使用我们的微信小程序
热门题目
1948年1月,在香港正式宣布成立的中国民主党派是( )
将在同一个组织中,薪酬标准由于职位或技能等级的不同而形成的一种序列关系或梯次结构的形式,称为()。
计算机网络的最大优点是()
提高组织效能的内容不包括 ( )
运用数学教育游戏时,游戏种类的选择应视______而定。
机会成本
Passengers are reminded to take all their____belongings with the
对全资企业和控股企业的直接投资,如果被投资企业经过评估其净资产额为负数,则对该企业的直接投资的评估值应为
企业运用工资、奖金对员工进行激励的方式属于任务激励。
诗歌《亚洲铜》的作者是()
病例2:男性患儿6岁。进诊室后与大夫无目光交流,叫其名字也没反应,受理不停摆弄着一个小瓶子。家长反映在家不和父母亲近,去幼儿园也
关于学前教育环境的研究,人们越来越重视( )对幼儿发展带来的影响,认为教师、家长和成人的关系、观念、行为方式、语言、人格等对儿童
➕
➖
📋
⬆️
已复制到剪贴板