翰林刷题,免费考试真题网站!
首页
关于我们
首页
›
分类
› 详情
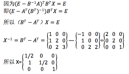
设且A,B,X满足求。
作者:高老师
时间:2024-07-29
浏览 0
设
且A,B,X满足
求
。
【正确答案】:
【题目解析】:
📱 扫码体验刷题小程序
扫一扫使用我们的微信小程序
热门题目
我国对资本主义工商业的社会主义改造所采取的基本政策是
遵义会议所要解决的主要问题是()
客户需求中最难预测的是( )。
根据2011年修订颁布的国家标准《国民经济行业分类》,我国对国民经济活动采用级行业分类。
审计
上海电器公司最近签订了一份合同,根据合同该公司将在世界各地开设若干家分厂,这就意味着该公司需要更改他们的会计流程。指出并解释经济
强调环境决定论的教育家是
PB9.0中,连接数据库时用____命令。
设存在函数int max(int,int)返回两参数中较大值,若求22,59,70三者中最大值,下列表达式不正确的是( )
设二维随机变量(x,y)~N(μ1,μ2,σ21,σ323,ρ),若ρxy=0,则()
下列方法中,不属于估测机器设备实体性贬值率或成新率的是( )
简述并运算规则。
➕
➖
📋
⬆️
已复制到剪贴板