设矩阵A和B满足关系式AB=A+2B,其中,求矩阵B。

作者:高老师 浏览 0

设矩阵A和B满足关系式AB=A+2B,其中,求矩阵B。


【正确答案】:



【题目解析】:

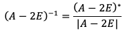
AB=A+2B⇒AB-2B=A⇒(A-2E)B=A,两边同时左乘可得。其中,,|A-2E|=-1,。矩阵的乘法运算:


📱 扫码体验刷题小程序

微信小程序二维码

扫一扫使用我们的微信小程序

热门题目

已复制到剪贴板