翰林刷题,免费考试真题网站!
首页
关于我们
首页
›
分类
› 详情
作者:高老师
时间:2024-07-29
浏览 0
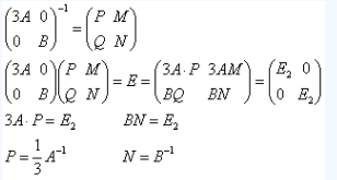
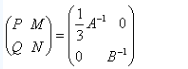
【正确答案】:
【题目解析】:
📱 扫码体验刷题小程序
扫一扫使用我们的微信小程序
热门题目
证券公司向客户推介金融产品时,应当了解客户的( )等基本情况,评估其购买金融产品的适当性。Ⅰ.风险承受能力Ⅱ.投资目标、风险偏好
自然科学属于现代生产力系统的要素、这是因为
简述控制的类型。
英国工业设计协会主席阿瑟·普罗斯199年在中央工艺美术学院的演讲中曾强调,当代设计关注的核心一是生活方式,二是文化,三是()
以下关于固定资产价值构成的说法正确的是()
39.传统式渠道结构
博比特的课程开发方法被称为( )
扣缴义务人申报办理扣缴税款登记,应当与法律、行政法规负有代缴税款义务之日()
The prime minister had not conquered inflation but he had held i
下列全是形容词的一组是
机器语言
不是填土压实效果的主要影响因素的是
➕
➖
📋
⬆️
已复制到剪贴板