翰林刷题,免费考试真题网站!
首页
关于我们
首页
›
分类
› 详情
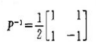
设,求
作者:高老师
时间:2024-07-29
浏览 1
设
,
求
【正确答案】:
于是
【题目解析】:
于是
📱 扫码体验刷题小程序
扫一扫使用我们的微信小程序
热门题目
从具体的服务内容来看,第三方物流服务可以分为常规服务和增值服务。
企业目标
( )汇率按照固定模式或者针对特定定量指标的变化而进行周期性小幅调整。
What’s the theme of F. Scott Fitzgerald’s The Great Gatsby?
第二人称代词“你“从古代 ” ______“演化面来,在唐代文献里已普遍使用。
在进行四格表卡方检验时,如果发现研究样本的总例数少于40例,此时应该选择的卡方检验的具体方法是( )
课程设置的4个阶段包括
高某,68岁,男性,糖尿病10年。近来经常表现为嗜睡、情绪低沉、焦虑、恐惧、坐立不安,偶感屋顶有闪电,自发钝痛,对冷、热不敏感,
悲哀主要分为两大类,即习俗性悲哀和________________。
名家发展到公孙龙和惠施时,主张
1991年通过的《中国新闻工作者职业道德准则》提出,新闻工作的根本宗旨是( )
某种商品的价格今年与去年相比上涨了3%,销售额增长了9%,则商品销售量增长的百分比为
➕
➖
📋
⬆️
已复制到剪贴板