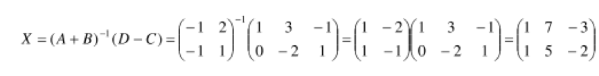
已知,矩阵X满足方程AX+BX=D-C,求X。

作者:高老师 浏览 1

已知,矩阵X满足方程AX+BX=D-C,求X。


【正确答案】:




【题目解析】:

📱 扫码体验刷题小程序

微信小程序二维码

扫一扫使用我们的微信小程序

热门题目

已复制到剪贴板