翰林刷题,免费考试真题网站!
首页
关于我们
首页
›
分类
› 详情
作者:高老师
时间:2024-07-29
浏览 1
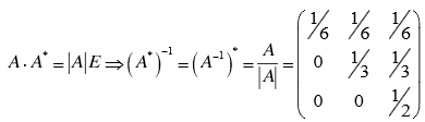
【正确答案】:
【题目解析】:
📱 扫码体验刷题小程序
扫一扫使用我们的微信小程序
热门题目
【阅读选择】Demands for stronger protection for wildlife in Britain so
价值工程对象确定之后,第二步的工作就是要围绕所选择的对象( )
学习型组织(名词解释)
简述访谈法的特点及分类。
内部沟通文件要求有哪些?
妇女受孕后胚胎发育分化的关键期是受孕后( )
第2题
记账凭证与所附原始凭证的金额( )。
Because of the mutual benefits no one would take a 【breach】 of t
简述正常分娩后2小时内预防产后出血的护理措施
简述心肺复苏的原则。
➕
➖
📋
⬆️
已复制到剪贴板