翰林刷题,免费考试真题网站!
首页
关于我们
首页
›
分类
› 详情
作者:高老师
时间:2024-07-29
浏览 0
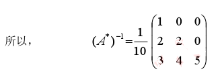
【正确答案】:
【题目解析】:
📱 扫码体验刷题小程序
扫一扫使用我们的微信小程序
热门题目
根据下列材料回答问题。材料一:巴黎和会上,美国主张吸收世界各国和战败的德国加入国际联盟组织,各会员国应相互保证“领土完整和政治独
提供综合性互联网信息资源的接入并能提供有关信息服务的互联网应用系统是 ( )
下列人口分类的各项中,属于按就业身份分类的是()
维持生存薪酬理论的提出者是
广告时机
小班幼儿的思维水平处于哪个阶段?
兹报山地自行车2 000辆,每辆欧洲主要港口到岸价50美元,11月船期。
护理研究在20世纪50年代的研究重点包括【】
决策
教育供求调节中属于市场调节的是
唯一一种在使用过程中不被消耗,并且不断增值的,可以为全社会所共享的资本是
“情急生智”所描述的情绪状态是()
➕
➖
📋
⬆️
已复制到剪贴板