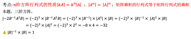
设A、B均为三阶可逆方阵,且|A|=2,则

作者:高老师 浏览 0

设A、B均为三阶可逆方阵,且|A|=2,则


【正确答案】:

-32


【题目解析】:

📱 扫码体验刷题小程序

微信小程序二维码

扫一扫使用我们的微信小程序

热门题目

已复制到剪贴板