设A为3阶矩阵,且,将A按列分块为,若矩阵

作者:高老师 浏览 1

设A为3阶矩阵,且,将A按列分块为,若矩阵


B、a
C、2a
D、3a
【正确答案】:C
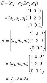
【题目解析】:

答:


📱 扫码体验刷题小程序

微信小程序二维码

扫一扫使用我们的微信小程序

热门题目

已复制到剪贴板