翰林刷题,免费考试真题网站!
首页
关于我们
首页
›
分类
› 详情
作者:高老师
时间:2024-07-29
浏览 0
A、-1
B、
C、
D、1
【正确答案】:B
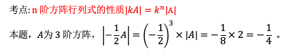
【题目解析】:
📱 扫码体验刷题小程序
扫一扫使用我们的微信小程序
热门题目
下列方法中,属于长期股权投资核算的方法有
广告文稿写作的第一个程序是()。
建立学前教育评价指标体系的步骤是( )
以学龄前1-2年的儿童为教育对象的教育组织形式称为
企业购入的已验收入库的原材料,尚未收到发票账单的,其处理结果正确的是()
国际货物贸易主要集中在()
每个部门有多名职工,每名职工在一个部门任职,实体集部门与职工之间的联系是
无类型标识符是指()
为保证运行管理任务的完成,检验运行管理工作的质量,为运行管理的改善提供切实依据,一项必不可少的常规工作,就是从信息系统投人运行开
简述垄断优势理论的内涵。
新生儿乳腺肿大多在生后____天出现,随着____的水平降低,生后周自然消退。
➕
➖
📋
⬆️
已复制到剪贴板