翰林刷题,免费考试真题网站!
首页
关于我们
首页
›
分类
› 详情
作者:高老师
时间:2024-07-29
浏览 0
【正确答案】:
【题目解析】:
(1)矩阵的转置:
(2)矩阵的乘法运算:
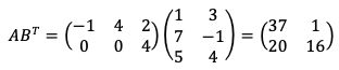
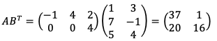
由此可得:
📱 扫码体验刷题小程序
扫一扫使用我们的微信小程序
热门题目
The Automobile In American lifeThe private automobile has long p
由美国联邦政府最初使用的工作评价方法是
社会主义首要的、最基本的道德要求是( )。
人们在确立理想和追求理想的过程中,会感受到理想和现实的矛盾。当人们发现理想和现实的矛盾时,应该
小说《哦,香雪》主要的描写情节有()
三种基本的定价方法包括()
()区域活动一般是以具体实物为对象的操作活动,其活动目标偏向于发展幼儿对客观事物及未知事物的好奇心及动手操作的能力。
企业转销无法支付的应付账款时,应将该应付账款账面余额计入()。
股份有限公司注册资本中,无形资产出资比例一般不超过
企业在一个新兴市场上,投放一种其它企业已经在成熟市场经营的产品,这样一种策略通常被认为属于( )
1924年,张恨水发表了成名作( )
社会参与能力是评定康复对象的社会参与和______指标。
➕
➖
📋
⬆️
已复制到剪贴板