翰林刷题,免费考试真题网站!
首页
关于我们
首页
›
分类
› 详情
作者:高老师
时间:2024-07-29
浏览 0
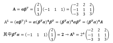
【正确答案】:
【题目解析】:
📱 扫码体验刷题小程序
扫一扫使用我们的微信小程序
热门题目
可以采用大修理方式进行补偿的设备磨损是( )。
生产运营管理咨询的内容包括
资本主义地租是()。
《著作权法》保护的作品包括()
“狂飙突进”
专利名称是公开的,技术诀窍也是公开的。
按照指定标准成本所依据的生产技术和经营水平分类,标准成本分为
conflict 这个单词的意思是( )
Those who have a strong love for climbing high and difficult mou
设随机变量X具有分布P{X=k}=1/5,k=1,2,3,4,5,则E(X)=
设A为n阶对称矩阵,B为n阶反对称矩阵,则下列矩阵中为反对称矩阵的是
某公司是一家国企,设有财会部,负责公司的财务管理和会计核算;设有采购部,负责公司的原材料采购和供应;此外,公司还设有其他职能部门
➕
➖
📋
⬆️
已复制到剪贴板