翰林刷题,免费考试真题网站!
首页
关于我们
首页
›
分类
› 详情
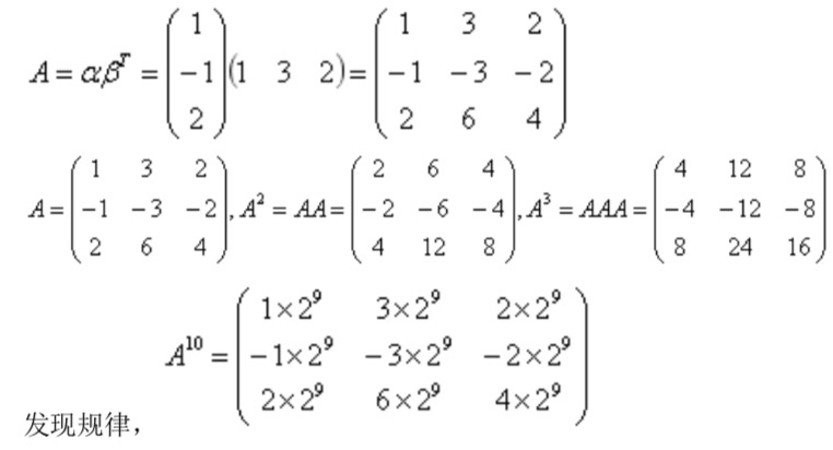
设向量
作者:高老师
时间:2024-07-29
浏览 0
设向量
【正确答案】:
【题目解析】:
发现规律,
📱 扫码体验刷题小程序
扫一扫使用我们的微信小程序
热门题目
My major problemDecision-making is something I struggle with. In
按制订计划的()划分,计划可分成高层管理计划、中层管理计划和基层管理计划。
剩余价值与预付总资本的比率是
下列不属于网络中间设备的是 ( )
TCL的“为顾客创造价值”的思想观念属于深层企业文化中的
德意志联盟
课程设计
我国现代儿童歌舞剧的开创者是
常规的意义是什么?
外币统账制下,对于货币性项目,因结算或采用资产负债表日的即期汇率折算而产生的汇兑差额,应计入( )
《芦川词》是下列哪位词人的词集()
提出“心斋”、“坐忘”观点的是
➕
➖
📋
⬆️
已复制到剪贴板