翰林刷题,免费考试真题网站!
首页
关于我们
首页
›
分类
› 详情
作者:高老师
时间:2024-07-29
浏览 0
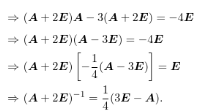
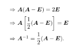
【正确答案】:
【题目解析】:
📱 扫码体验刷题小程序
扫一扫使用我们的微信小程序
热门题目
下列观点中表述唯物辩证法总特征的是( )。
分析苏宁易购与京东商城商业模式的一个区别。
为解决员工对过分专业化的不满情绪而采取“工作轮换”和“工作扩大化”方法的工作设计发展阶段是 ( )
辅导法
20世纪初我国学前教育上学习模仿日本,20世纪20年代引进杜威的实用主义思想并进行本土化实验,体现了学前教育对文化的( )
既是游戏的物质支柱,也是认识掌握世界的工具的是()
儿童进行空气浴时可接受的最低空气温度是( )
Dreiser s language style includes the following aspects except__
自1971年起,普惠制以()为一个实施阶段。
梁陈时期诗尚自然、主风力的代表人物是( )
以下王昌龄的诗篇中,以妇女为题材的诗有()。
简述妊娠合并心脏病妇女在妊娠期的护理措施。
➕
➖
📋
⬆️
已复制到剪贴板