翰林刷题,免费考试真题网站!
首页
关于我们
首页
›
分类
› 详情
作者:高老师
时间:2024-07-29
浏览 2
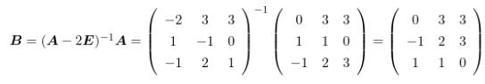
【正确答案】:
【题目解析】:
📱 扫码体验刷题小程序
扫一扫使用我们的微信小程序
热门题目
下列投资方案经济效果评价指标中,可用于偿债能力分析的有( )。
现行宪法规定,有权批准省、自治区、直辖市的区域划分的是
简述劳动供给曲线是向后弯曲的原因。
合伙制企业是()
为了抚育战后的孤儿和私生子,1919年在伦敦成立的儿童救济基金会开办了
One 【antiquated】 rule that the authority might relax is the limi
The novel ____is regarded to be a more profoundly ordered one th
超保护贸易理论的代表人物是()
简述适时生产系统的特点。
正确的认识伤情的严重程度对制定治疗方案和估计预后十分重要,常用的判定方法有
已知梁的截面尺寸为b×h=200mm×500mm,混凝土强度等级为C25,fe=11.9MPa,钢筋采用HRB335,fy=30
➕
➖
📋
⬆️
已复制到剪贴板