翰林刷题,免费考试真题网站!
首页
关于我们
首页
›
分类
› 详情
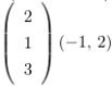
计算:
作者:高老师
时间:2024-07-29
浏览 1
计算:
【正确答案】:
【题目解析】:
📱 扫码体验刷题小程序
扫一扫使用我们的微信小程序
热门题目
作出《关于恢复邓小平同志职务的决议》的会议是中共十届()
下列关于风险管理相关的活动中,属于风险控制过程中事中控制措施的有( )。Ⅰ.风险定价Ⅱ.流程控制Ⅲ.工具控制Ⅳ.实时监测和报告
试述开放系统互联参考模型的层次性。
按每层计划解决问题的差异,一般意义上,将国际物流计划分为( )
试述选择工作评价的要素应遵循的原则。
下列属于按照人力资源规划的独立性分类的是( )。
简述绩效管理体系的含义。
公司人力资源部要组织内部竞聘,请专家设计了一套测评方案,你认为该测评属于
在中国,即使人均GDP达到一定数值后,收入分配不平等很可能还会继续上升,主要表现在哪些方面?
幼儿的学习活动有什么特点?
动态比较法是将评价对象的各种技术经济资料,按照一定的标志分组,然后再按组分别统计算出有关技术经济指标值进行评比。
All other things being equal, a subsequent fall in the dollar mi
➕
➖
📋
⬆️
已复制到剪贴板