且AB=A+2B,求解B。

作者:高老师 浏览 1

且AB=A+2B,求解B。
【正确答案】:

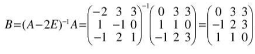
由AB=A+2B,可得(A-2E)B=A,故得:



【题目解析】:

由AB=A+2B,可得(A-2E)B=A,故得:


📱 扫码体验刷题小程序

微信小程序二维码

扫一扫使用我们的微信小程序

热门题目

已复制到剪贴板