设A、B均为n阶方阵,的充分必要条件是()

作者:高老师 浏览 0

设A、B均为n阶方阵,的充分必要条件是()


A、A=E
B、B=0
C、A=B
D、AB=BA
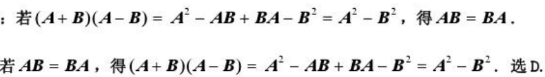
【正确答案】:D
【题目解析】:

📱 扫码体验刷题小程序

微信小程序二维码

扫一扫使用我们的微信小程序

热门题目

已复制到剪贴板