翰林刷题,免费考试真题网站!
首页
关于我们
首页
›
分类
› 详情
作者:高老师
时间:2024-07-29
浏览 0
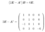
【正确答案】:
【题目解析】:
📱 扫码体验刷题小程序
扫一扫使用我们的微信小程序
热门题目
说明诊断过程的运作。
共产党人和先进分子必须选择的人类历史上最科学、最进步、最美好的理想,这种理想是()
领导生命周期理论,根据下属成熟度不同匹配了相应的领导风格,说服型领导的风格是
学前期独生子女社会性发展中的突出问题有哪些?产生的原因是什么?
如果需求交叉弹性系数大于零,则两种商品为互补品。
核实有关资料的方法有
miracle 这个单词的意思是()
财务报表审计程序是指审计工作从开始到结束的整个过程,请问其审计程序的主要内容包括哪些?
中间性指标的作用包括:(1)能对货币政策工具的操作作出迅速反应;(2)与货币政策的最终目标紧密相关。
正始诗人阮籍的著名五言组诗是( )
试述国务院规定的建设工程最低保修期限的标准。
简述建设项目财务报表的编制目的和基本财务报表的种类。
➕
➖
📋
⬆️
已复制到剪贴板