翰林刷题,免费考试真题网站!
首页
关于我们
首页
›
分类
› 详情
作者:高老师
时间:2024-07-29
浏览 2
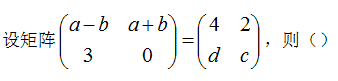
A、
B、
C、
D、
【正确答案】:D
【题目解析】:
📱 扫码体验刷题小程序
扫一扫使用我们的微信小程序
热门题目
投资者购买基金份额成为基金的( )。
简述面试的特点
杜牧《早雁》中早雁的象征意义是()
罗素《如何避免愚蠢的见识》认为,为了避免愚蠢的见识,“尤宜提防”的是
判断曲线y=x3的凹凸性.
由于缺乏或期待某种结果而产生的心理状态被称为 ,人们从事某种活动,为某一目标付出努力的意愿被称为 ,通过满足员工的需要而使其努力
《国际歌》的作者是
用具象的概括和形象的简化来把握事物的本质是( )
将( )结合起来,赋予物品物质和精神功能的双重作用,是人类设计活动的一个基本特点。
社会保障计划是一种()
.简述会计循环的基本内容。
managed float
➕
➖
📋
⬆️
已复制到剪贴板