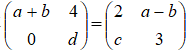
设矩阵,则( )。

作者:高老师 浏览 3

设矩阵,则( )。


A、a=3,b=-1,c=1,d=3
B、a=-1,b=3,c=1,d=3
C、a=3,b=-1,c=0,d=3
D、a=-1,b=3,c=0,d=3
【正确答案】:C
【题目解析】:

📱 扫码体验刷题小程序

微信小程序二维码

扫一扫使用我们的微信小程序

热门题目

已复制到剪贴板