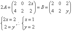
且2A=B,则

作者:高老师 浏览 1

且2A=B,则
A、x=1,y=2
B、x=2,y=1
C、x=1,y=1
D、x=2,y=2
【正确答案】:A
【题目解析】:

📱 扫码体验刷题小程序

微信小程序二维码

扫一扫使用我们的微信小程序

热门题目

已复制到剪贴板