翰林刷题,免费考试真题网站!
首页
关于我们
首页
›
分类
› 详情
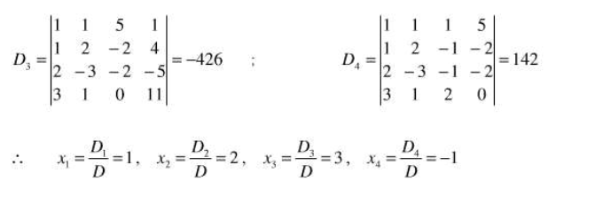
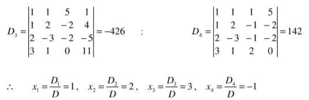
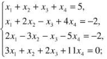
求解:
作者:高老师
时间:2024-07-29
浏览 2
求解:
【正确答案】:
【题目解析】:
📱 扫码体验刷题小程序
扫一扫使用我们的微信小程序
热门题目
辛亥革命的历史意义。
我国的上海证券交易所及深圳证券交易所对B股实行回转交易制度,下列说法不正确的是( )。Ⅰ.目前我国对B股的回转交易制度规定和权证
简述判断一个组织是否具有团队文化依据的三个要素。
下列《祖国啊,我亲爱的祖国》意象中,象征着祖国崛起的有
赋予持有者在约定日期收取预先声明的固定数额的无条件权利的证券是()
在企业制度文化的内容中,能充分反映企业管理风格和文化特色的是( )
两性在家庭内外的生产率存在差距,因此在婚姻形成的共同生活中,夫妻双方容易取长补短。该经济性决策依据描述的是婚姻能使( )。
中国广告协会成立于
为更便捷地编制现金预算,可在制造费用预算总额中扣除的项目是()
权变领导理论认为,适宜采取说服式领导方式的员工类型是
某社区卫生服务中心欲了解该社区居住的 60 岁以上老人的认知功能随年龄增长而发生变化的趋势,拟每年为一位老人进行 1 次认知功能
“顾客通过互联网注册后直接观看视频网站的电影,并根据电影观看或下载次数进行付费”,这种定价策略属于
➕
➖
📋
⬆️
已复制到剪贴板