翰林刷题,免费考试真题网站!
首页
关于我们
首页
›
分类
› 详情
作者:高老师
时间:2024-07-29
浏览 2
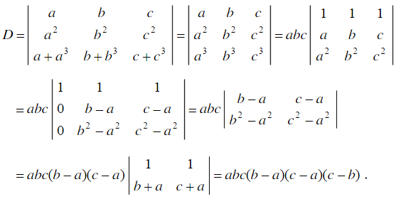
【正确答案】:
【题目解析】:
本题考察行列式的计算:
📱 扫码体验刷题小程序
扫一扫使用我们的微信小程序
热门题目
通过邀请客户参观考察,企业可以很好地维护和客户的关系,但其缺点是
企业要规范商品出库、运输、交验程序,确保货物安全发运,就应当加强管理的环节是
风险识别
简述团队建设的基本流程
( )涉及承租人、出租人和资本出借者三方当事人。适用于金额较大的设备租赁项目。
领导的核心是权力。
下列不是美国著名设计师和设计理论家维克多·佩帕尼克提出的主张的是
在一定教育价值观的指导之下将所选出的各种课程要素妥善组织为课程结构,使各种课程要素在动态运行的课程结构系统中产生合力,以有效实现
心灵美
马歇尔认为,时期长短对均衡价格形成过程有不同的影响,时间越长
We assure you ______ our full attention executing your order.
在处理系统问题时,要注意研究系统的结构与 的关系,重视提高系统的整体功能。
➕
➖
📋
⬆️
已复制到剪贴板