翰林刷题,免费考试真题网站!
首页
关于我们
首页
›
分类
› 详情
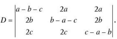
计算行列式
作者:高老师
时间:2024-07-29
浏览 1
计算行列式
【正确答案】:
【题目解析】:
答:
📱 扫码体验刷题小程序
扫一扫使用我们的微信小程序
热门题目
则遣从事以一少牢告庙。
下列不属于系统软件的是
宏观消费结构
个人本位论代表人物不包括( )
20世纪60年代,作为社区学前教育的开端,美国实施了面向生活贫困线以下的家庭的3-5岁儿童享受的教育活动,此活动称为()
出口管制最常见和最有效的手段是().
损益平衡图的绘制方式主要有传统式、利量式和( )
Some phrases containing material nouns are shortened and only th
辅助生产产品和劳务所耗费的各种生产费用之和,是辅助生产车间产品和劳务的()
狭义的仲裁协议是指()
预防急性白血病感染的措施有
关联的多重性是指( )
➕
➖
📋
⬆️
已复制到剪贴板