翰林刷题,免费考试真题网站!
首页
关于我们
首页
›
分类
› 详情
作者:高老师
时间:2024-07-29
浏览 2
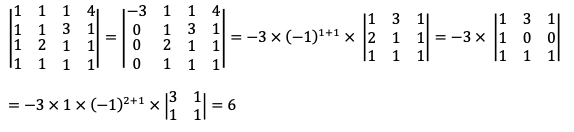
【正确答案】:
【题目解析】:
📱 扫码体验刷题小程序
扫一扫使用我们的微信小程序
热门题目
下列《秋夜》意象中,表现出色厉内荏特征的是
某地区2013年玉米产量为300万吨,市场收购价格为每千克2元,2014年该地区玉米产量为400万吨,市场收购价格为每千克3元。
在对公务员处分的整个过程中,坚持的原则有()
简述常规教育在幼儿园工作中的价值。
4-5岁幼儿分类能力的发展特点
解释国际保理的定义。
1976年瑞士计算机科学家Niklaus Wirth曾提出一个著名公式:程序=数据结构+( )。
有两个不同的实体集,它们之间存在着一个1:1联系和一个M:N联系,那么根据ER模型转换成关系模型的规则,这个ER结构转换成的关系
定义平面上一个点的类point,有双精度型私有数据成员横坐标x和纵坐标y,公有成员函数有写入函数input()、求原点距离函数d
When a common word is turned into a proper noun,the meaning is(
企业交纳印花税时,编制会计分录所涉及的会计科目有()
圣书字
➕
➖
📋
⬆️
已复制到剪贴板