翰林刷题,免费考试真题网站!
首页
关于我们
首页
›
分类
› 详情
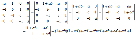
计算行列式:
作者:高老师
时间:2024-07-29
浏览 1
计算行列式:
【正确答案】:
【题目解析】:
📱 扫码体验刷题小程序
扫一扫使用我们的微信小程序
热门题目
协调组织冲突的对策。
海尔公司对新员工从调整心态到树立职业心进行的培训称为( )。
已知某地区2004年男性6〜50周岁的人口为25万人,女性6〜45周岁的人口为20万人; 相应的特殊死亡率,男性为5%。,女性4
名词解释:学前教育学
We shall appreciate your placing______ with us as eardy as possi
由于你方发错货,我们只能要求你们将我们的订货发来。
为解决重名问题,必须采()用目录。
If negotiations for the new trade agreement take ______,serious
试述充分发挥谈判群体效能的一般途径
企业经营战略控制的基本要素不包括()。
下列属于李季的叙事长诗的是
《全日制义务教育语文课程标准(实验稿)》在“阅读”方面规定,初中毕业生课外阅读总量应不少于
➕
➖
📋
⬆️
已复制到剪贴板