翰林刷题,免费考试真题网站!
首页
关于我们
首页
›
分类
› 详情
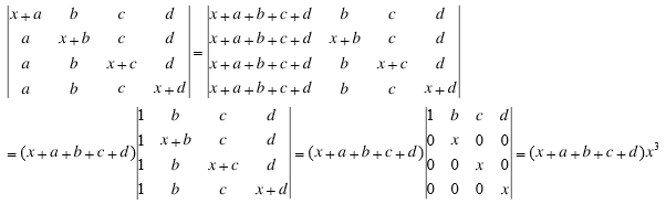
计算行列式:
作者:高老师
时间:2024-07-29
浏览 1
计算行列式:
【正确答案】:
【题目解析】:
📱 扫码体验刷题小程序
扫一扫使用我们的微信小程序
热门题目
完善道德品质的修养方法不包括()。
随着生产力水平的提高,第二产业逐渐占优势比重,我们称之为()
劳动报酬可以分为直接报酬和间接报酬,其中间接报酬是指( )
________指国家领导管理教育的组织结构和工作制度的总称,是国家管理本国教育事业的制度化途径。
预算线的位置和斜率取决于( )。
下列各项中,属于流动负债的是()
下列不属于货币性资产的是
国际贸易发展的动因是什么?
下列有关进口税的选项中正确的有()
简述“大历十才子”诗歌的特色。
(2008.4,多选23)慢性肾功能衰竭病人心血管系统的表现包括()
意识障碍其重要标志的临床表现是()
➕
➖
📋
⬆️
已复制到剪贴板