翰林刷题,免费考试真题网站!
首页
关于我们
首页
›
分类
› 详情
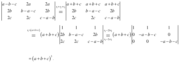
计算行列式:
作者:高老师
时间:2024-07-29
浏览 2
计算行列式:
【正确答案】:
【题目解析】:
📱 扫码体验刷题小程序
扫一扫使用我们的微信小程序
热门题目
中国共产党在过渡时期总路线的主体是( )
因地理位置较好而缴纳的地租属于
内部招聘途径不包括
简述改革、发展、稳定三者之间的关系。
下列不属于企业通过薪酬调查可以获得的信息的是( )。
下列属于金融资产的项目有
信息系统的主要组成要素是什么?
Complete the following statements with proper words or expressio
下列关于所得税列示与披露的说法中,正确的是( )
中国进口公司与美国出口公司订立了买卖水泥的国际货物买卖合同。合同约定采用CIF术语(Incoterms 2000),纽约为装运港
简析张岱《柳敬亭说书》一文运用的欲扬先抑、侧面烘托的手法。
提炼市场规制法的宗旨,有必要从哪几个角度思考?
➕
➖
📋
⬆️
已复制到剪贴板