翰林刷题,免费考试真题网站!
首页
关于我们
首页
›
分类
› 详情
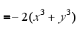
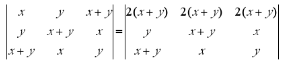
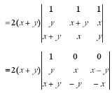
计算行列式:
作者:高老师
时间:2024-07-29
浏览 2
计算行列式:
【正确答案】:
【题目解析】:
📱 扫码体验刷题小程序
扫一扫使用我们的微信小程序
热门题目
读图7,回答问题。[图1]指出乙地区的主要植被类型,并简述影响该植被类型分布的主要自然因素。
The stranger who changed my lifeIt was a sunny morning in the sp
招标的主要工作包括招标前期准备和招标公告,( )的编制与发布。
或有租金
在或有事项的确认和计量中,对于“很可能”发生的或有事项,对应的概率区间是 【 】
被称为计算机网络技术发展里程碑的计算机网络系统是___。
按经营业务的地域范围编制的分部报告称为
甲公司20l5年利润表中利润总额为4 000 000元,适用的所得税税率为25%,当年发生的有关交易和事项中,会计处理与税务处理
随着生产发展和科学技术进步,综合治理“三废”,“三废”应该按照( )的成本计算方法计算其成本。
常用的实验法有()
梁启超在《论小说与群治之关系》中“小说有不可思议之力支配人道故”中的“人道”是指
uNIx进程进入睡眠状态的原因可能是()
➕
➖
📋
⬆️
已复制到剪贴板