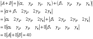
设均为4维列向量,A=()和B=()为4阶方阵。若行列式|A|=4,|B|=1,求行列式|A+B|的值.

作者:高老师 浏览 2

均为4维列向量,A=()和B=()为4阶方阵。若行列式|A|=4,|B|=1,求行列式|A+B|的值.


【正确答案】:



【题目解析】:

📱 扫码体验刷题小程序

微信小程序二维码

扫一扫使用我们的微信小程序

热门题目

已复制到剪贴板