翰林刷题,免费考试真题网站!
首页
关于我们
首页
›
分类
› 详情
作者:高老师
时间:2024-07-29
浏览 1
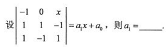
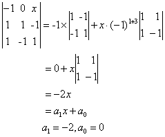
【正确答案】:
-2
【题目解析】:
📱 扫码体验刷题小程序
扫一扫使用我们的微信小程序
热门题目
无差异市场开发战略适用的情况是同质性产品、新产品刚刚投放市场以及【】
按照证券工具选择的不同,证券投资大体上可划分为股票投资和( )
企业对担保业务风险评估应当采取的措施有( )
教会中对女神职人员称____。
《断魂枪》中,沙子龙将镖局改为客栈的主要原因是()
垄断资本对外扩张掠夺的理想工具是
Raising a child is a __________ and rewarding job.
从风险角度看,下列更接近于确定性投资的是( )
简述西方商业银行评估借款申请人的方式。
账户按用途和结构分类,属于备抵附加调整账户的是( )。
Put the following words and phrases into English.董事会
从一个学生关系中找出某个学生元组的操作属于( )
➕
➖
📋
⬆️
已复制到剪贴板