翰林刷题,免费考试真题网站!
首页
关于我们
首页
›
分类
› 详情
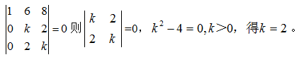
若3阶行列式( )
作者:高老师
时间:2024-07-29
浏览 2
若3阶行列式( )
【正确答案】:2
【题目解析】:
📱 扫码体验刷题小程序
扫一扫使用我们的微信小程序
热门题目
阅读《咬文嚼字》中的一段文字,回答问题:美人都是“柳腰桃面”,“王嫱、西施”,才子都是“学富五车,才高八斗”;谈风景必是“春花秋
引进或利用外资的作用包括()
如果某股票的β系数大于1,则对该股票的系统风险表述正确的是( )
研究遗传基因对心理健康的影响是通过1对家系的研究和对双生子的研究而进行的。
信息资源管理整个标准化工作的中心是
下面选项中属于主动攻击的有【】
对于企业发生的劳务收入,使用完工百分比法确认收入的,应判断企业在确认收入时是否遵循了()
结算业务属于商业银行的( )
可以计入中国国民生产总值的项目是
成长发展的一般规律是_____、_____、_____、_____、_____。
采用动态重定位的方式地址转换时,绝对地址=相对地址+基址寄存器值。这样的存储管理方法是
➕
➖
📋
⬆️
已复制到剪贴板