翰林刷题,免费考试真题网站!
首页
关于我们
首页
›
分类
› 详情
作者:高老师
时间:2024-07-29
浏览 0
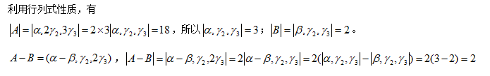
【正确答案】:
【题目解析】:
答:
📱 扫码体验刷题小程序
扫一扫使用我们的微信小程序
热门题目
1919年,发表《我的马克思主义观》一文的是()
名词解释:健康
小儿刚吃奶、吃饭以后,不宜马上测体温,应在饭后()以后测量。
血细胞中,具有运输功能的是
某企业对原材料采用计划成本计价核算,本月原材料科目的期初余额为500000元,本月该企业购进原材料的计划成本为3800000元;
甲公司为增值税一般纳税人工业企业,增值税税率为1 7%,所得税税率为25%,提供运输劳务的营业税税率为3%,转让不动产和无形资产
网络维护的主要目的是保证通信的顺畅和网络的 。
Hawthorne has a "black" vision of life and human being
( )是指企业生产经营活动的各种记录,企业内部的数据库为收集二手资料提供了很好的一个起点
商务谈判中,要做到对事不対人,应把握的原则是
教师或导师在整个辅导过程中的作用是( )
磷脂和糖脂为____的重要组成成分。
➕
➖
📋
⬆️
已复制到剪贴板