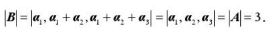
设三阶方阵A=,其中为A的列向量,且|A|=3,若B=则|B|=________.

作者:高老师 浏览 0

设三阶方阵A=,其中为A的列向量,且|A|=3,若B=则|B|=________.


【正确答案】:

3


【题目解析】:

答:


📱 扫码体验刷题小程序

微信小程序二维码

扫一扫使用我们的微信小程序

热门题目

已复制到剪贴板