翰林刷题,免费考试真题网站!
首页
关于我们
首页
›
分类
› 详情
作者:高老师
时间:2024-07-29
浏览 0
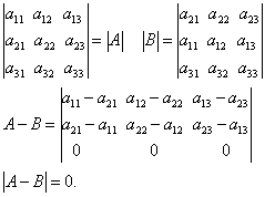
【正确答案】:
0
【题目解析】:
📱 扫码体验刷题小程序
扫一扫使用我们的微信小程序
热门题目
属于无担保证券范畴,不以公司任何资产作担保而发行的债券被称为( )。
调查问卷的结构组成包括( )。
根据我国《选举法》,全国和地方各级人民代表大会代表的选举,一律釆用
简述影响管理幅度的因素。
亨利•李合伙公司(2):亨利•李在国际会议的讲话取得圆满成功,因此他重新争取到许多高端客户。这使得他们雇
幼儿园教学活动应当是幼儿教师( )
Compared with traditional fast-food restaurants, fast-casuals( )
#include<iostream.h> main ( ){ int x=5,y=6; const int *p=&
Passage1Throughout history artists havekilled many different rol
下列活动中,不属于控制活动要素的是
资产评估专业性准则
按照加工程度划分,下列货物市场中属于初级产品市场的是( )。
➕
➖
📋
⬆️
已复制到剪贴板