翰林刷题,免费考试真题网站!
首页
关于我们
首页
›
分类
› 详情
行列式
作者:高老师
时间:2024-07-29
浏览 0
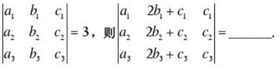
行列式
【正确答案】:
6
【题目解析】:
📱 扫码体验刷题小程序
扫一扫使用我们的微信小程序
热门题目
简述中国同盟会。
在社会主义市场经济运行中,对资源配置起决定性作用的是
通过将自身伪装成其他正常软件来吸引用户下载并执行,对植入计算机进行控制和信息窃取的计算机病毒称为( )
教师在课堂上通过讲解,示范等提示活动来教授课程内容,这种类型的教学方法是
终身教育成为联合国教科文组织规划的中心和一系列研究、会议和可行性计划的主题是从_____开始。
下列各项,属于筹资活动产生的现金流量的有( )。
不含有多余属性的超键称为( )。
以下没有使用加密技术的访问控制技术是( )
Paper has a number of meanings in the dictionary, yet it only co
Which of the following is one of the main functions of verbal
The following are rhetorical features of idioms EXCEPT _____.
一家企业通过支付现金的形式取得另一家企业的全部净资产,只有合并方继续保留法人地位,而被合并方在合并后丧失法人地位,这样的合并称为
➕
➖
📋
⬆️
已复制到剪贴板