翰林刷题,免费考试真题网站!
首页
关于我们
首页
›
分类
› 详情
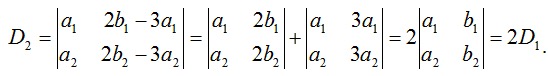
( )。
作者:高老师
时间:2024-07-29
浏览 0
( )
。
【正确答案】:2
【题目解析】:
📱 扫码体验刷题小程序
扫一扫使用我们的微信小程序
热门题目
下列不属于根据目标对团队进行分类的是()
企业文化功能企业文化的功能主要表现
南非学前教育机构母亲日托,最多能接受儿童的人数是( )
选择下面划线假名对应的汉字。どろぼう( )
下列不属于注册会计师职业道德的基本原则的是()
对货币需求的宏观分析与微观分析理解正确的是()
在波士顿矩阵中,高增长率和高市场占有率的一类业务单位最可能是
如何培养和推动协作精神
企业利用本国或本地特有资源或丰富资源,或利用本企业独创的新技术,或者专门为某一领域的特殊需要而开发和生产的特色产品战略称为( )
简述有效接受的构成条件。
有一份合同,出售中国大米10000公吨,合同规定:“自2月份开始,每月装船1000公吨,分十批交货。”卖方从2月份开始交货,但交
科学实验是如何发现思维可以先于语言而产生和脱离语言而存在的证据的?
➕
➖
📋
⬆️
已复制到剪贴板