翰林刷题,免费考试真题网站!
首页
关于我们
首页
›
分类
› 详情
作者:高老师
时间:2024-07-29
浏览 1
B、a
C、2a
D、3a
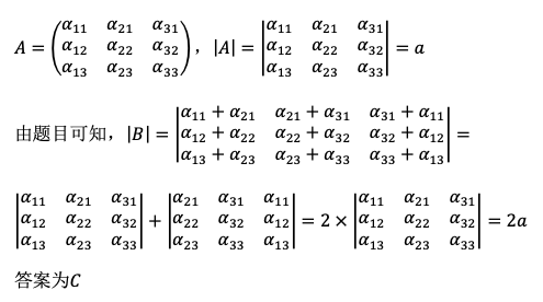
【正确答案】:C
【题目解析】:
📱 扫码体验刷题小程序
扫一扫使用我们的微信小程序
热门题目
改革开放以来,我国形成的基层民主自治体系包括 ( )。
试述工作评价的步骤。
通过比较现状与目标之间的差距发现问题,根据问题的特征设计出几个可行方案,每一个方案对应一个最终结果。这种管理方法是
中国人民银行正式向社会公布货币供应量统计数据开始于()
简述下行沟通的目的。
建国后的三十年间对广告学的研究几乎是一片空白,仅有( )一书中介绍了橱窗广告设计的常识。
今日は( )天気です。
本屋へ行って日本語の小説と英語の小説を一冊( )買いました。
设A为3阶方阵且|A|=4,则|[(1/2)A]2|=____
关于实质性程序的时间的说法,错误的是( )。
美国《1988年综合贸易与竞争法》中关于知识产权保护的专项条款是()
简述报告文学对真实性的具体要求。
➕
➖
📋
⬆️
已复制到剪贴板