翰林刷题,免费考试真题网站!
首页
关于我们
首页
›
分类
› 详情
作者:高老师
时间:2024-07-29
浏览 1
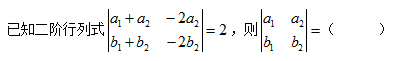
A、-2
B、-1
C、1
D、2
【正确答案】:B
【题目解析】:
答:
📱 扫码体验刷题小程序
扫一扫使用我们的微信小程序
热门题目
当法定公积金累计金额达到注册资本的_______时,公司可不再提取。()
葛利高里出自下列哪一部作品()
小说《校舍上的车轮》创造了“古怪人”杨纳士这一人物形象,这部作品的作者是( )
简述政府财务会计中收入的确认条件。
假设某企业只生产一种产品,本期为生产该产品发生直接材料费用160万元,直接人工费用30万元,制造费用40万元,企业行政管理费用2
John Milton’s ( ) is the only generally acknowledged epic in En
Passage: Christmas CardsWhy did Mr. Smith leave the living-room
Only in recent years()begun to realize that wild dogs, kept with
在公募拍卖方式下,具体的拍卖方法有()
中国某服装设计师设计的女士服装以典雅、高贵享誉中外。在国际市场,每件以该设计师命名的中式旗袍售价高达10000美元。这种定价策略
常用的混合成本分解方法通常有哪些?
试述商品市场行情研究与经济行情研究的关系。
➕
➖
📋
⬆️
已复制到剪贴板