翰林刷题,免费考试真题网站!
首页
关于我们
首页
›
分类
› 详情
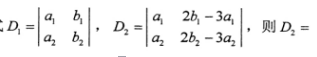
设行列式
作者:高老师
时间:2024-07-29
浏览 0
设行列式
A、
B、
C、
D、
【正确答案】:C
【题目解析】:
📱 扫码体验刷题小程序
扫一扫使用我们的微信小程序
热门题目
简述理想信念的理想信念的基本特点。
被定义为人类社会历史经验的总结和概括,是人脑对客观事物的主观表征的是【】
试述职业生涯早期员工所面临的主要任务及个人的心理特征。
梅奥等人认为,提高劳动生产效率的主要途径是
1992年7月10日,俄罗斯总统叶利钦签署颁布了
系统结构局部的重新设计属于
The World Health Organization wants governments across the conti
甲公司破产财产的处置如下:(1)收回应收账款109 000元,其账面金额为124 880元,其中有15 880元确认不能收回的坏
GATT缔结的时间是()
请举例说明语文综合性课外活动的开展形式。
当晶体三极管工作在放大区时,发射结电压和集电结电压应为()
清初“三先生”中,()重文献考据的方法为后来清朝的“乾嘉学派”奠定了基础。
➕
➖
📋
⬆️
已复制到剪贴板