翰林刷题,免费考试真题网站!
首页
关于我们
首页
›
分类
› 详情
作者:高老师
时间:2024-07-29
浏览 0
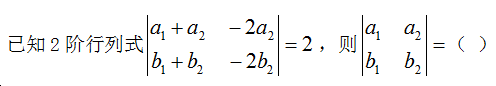
A、-2
B、-1
C、1
D、2
【正确答案】:B
【题目解析】:
·
📱 扫码体验刷题小程序
扫一扫使用我们的微信小程序
热门题目
我国坚持走自己的路,建设中国特色社会主义伟大实践的理论基础是
以下()不属于项目管理的特点。
属于经济风险的是( )。
刑事诉讼中的强制措施是指公安机关、人民检察院和人民法院为了保证刑事诉讼活动的顺利进行,防止犯罪嫌疑人、被告人等逃避或者妨碍侦查、
市场工资率进行按劳分配的步骤。
列夫·托尔斯泰世界观转变的标志性作品是( )
按照国家《银行账户管理办法》规定,企业的工资、奖金、津贴等的支取,只能通过()办理。
1951年颁布的《关于改革学制的决定》分五部分,第一部分为
计算4阶行列式D=.
贴现是指持票人在票据已经到期后在贴现市场上寻求变现,受让人扣除贴现利息后将票款付给出让人的行为。
生物医学数据最显著的特征是 ( )
假定有一个磁盘组共有100个柱面,每个柱面上有8个磁道。每个盘面被分成8个扇区,现采用位示图的方法管理磁盘空间,其字号位号均从第
➕
➖
📋
⬆️
已复制到剪贴板