设行列式=1,=-2,则=()

作者:高老师 浏览 0

设行列式=1,=-2,则=()


A、-3
B、-1
C、1
D、3
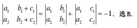
【正确答案】:B
【题目解析】:

📱 扫码体验刷题小程序

微信小程序二维码

扫一扫使用我们的微信小程序

热门题目

已复制到剪贴板