行列式中(3,2)元素的代数余子式( )

作者:高老师 浏览 0

行列式中(3,2)元素的代数余子式( )


【正确答案】:

-2


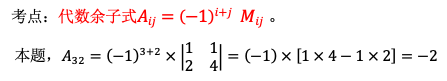
【题目解析】:

📱 扫码体验刷题小程序

微信小程序二维码

扫一扫使用我们的微信小程序

热门题目

已复制到剪贴板